FONTSIZE
ห้องข่าว >> ภาพข่าว >> ภาพข่าวสภาผู้แทนราษฎร
นายไพบูลย์ นิติตะวัน ส.ส. พรรคพลังประชารัฐ แถลงข่าวเกี่ยวกับการจัดทำรายงานผลการตรวจสอบการออกเสียงลงคะแนนเป็นรายพรรค ตามที่ตนได้เคยแถลงข่าวไว้เมื่อวันที่ 2 ธ.ค. 64 ว่าจะมีการติดตามการออกเสียงลงคะแนนของ ส.ส. แต่ละพรรค

๏ฟฝัน๏ฟฝ๏ฟฝ๏ฟฝ 8 ๏ฟฝ.๏ฟฝ. 2564

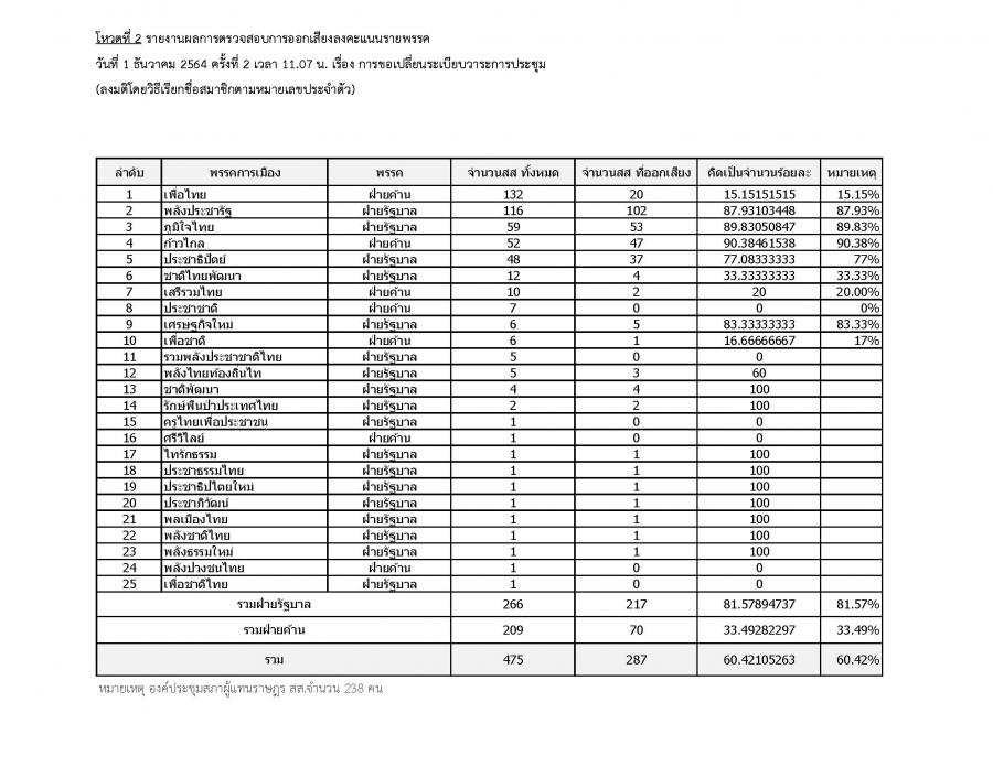
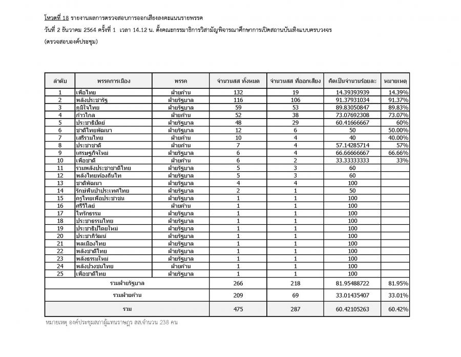
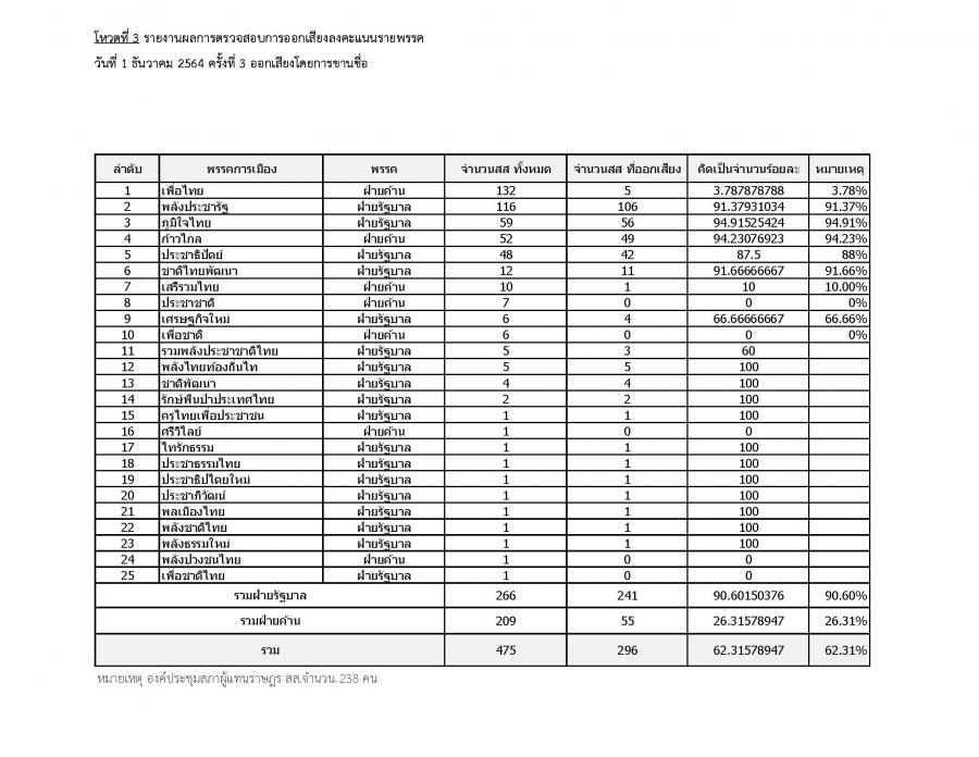
วันพุธที่ 8 ธันวาคม 2564 เวลา 14.20 นาฬิกา ณ ห้องแถลงข่าว ชั้น 1 อาคารรัฐสภา นายไพบูลย์ นิติตะวัน ส.ส. พรรคพลังประชารัฐ แถลงข่าวเกี่ยวกับการจัดทำรายงานผลการตรวจสอบการออกเสียงลงคะแนนเป็นรายพรรค ตามที่ตนได้เคยแถลงข่าวไว้เมื่อวันที่ 2 ธ.ค. 64 ว่าจะมีการติดตามการออกเสียงลงคะแนนของ ส.ส. แต่ละพรรค โดยผ่านโปรแกรมและการประมวลผลในการลงคะแนนในแต่ละครั้ง ซึ่งในสัปดาห์ที่ผ่านมาได้มีการลงคะแนนในการประชุมสภาผู้แทนราษฎรเมื่อวันที่ 1 ธ.ค. 64 จำนวน 17 ครั้ง และวันที่ 2 ธ.ค. 64 จำนวน 4 ครั้ง รวมทั้งสิ้น 21 ครั้ง จึงได้ประมวลผลการลงคะแนน ปรากฏผลดังนี้
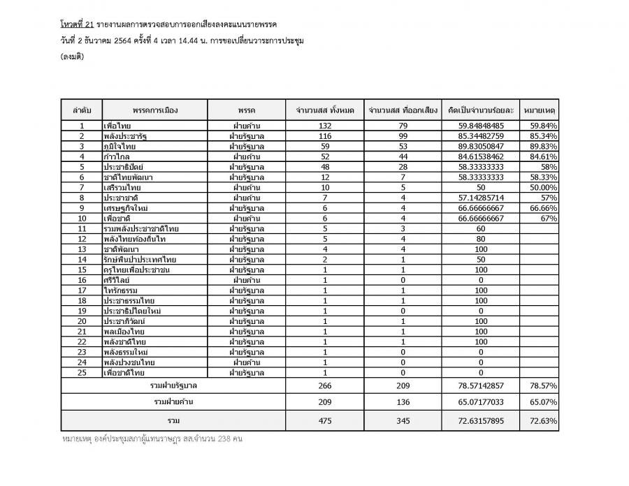
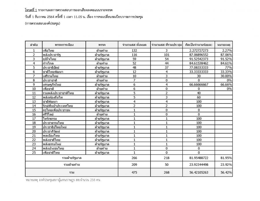
1. พรรคเพื่อไทย มีจำนวน ส.ส. 132 คน ในการลงคะแนนครั้งที่ 1 มี ส.ส. ร่วมลงคะแนนคิดเป็นร้อยละ 2.27 แต่ในการลงคะแนนครั้งที่ 21 ครั้งสุดท้าย คิดเป็นร้อยละ 59.84 ซึ่งถือว่าเป็นเรื่องดีที่มี ส.ส. ลงคะแนนเสียงเพิ่มมากขึ้น 
2. พรรคพลังประชารัฐ มีจำนวน ส.ส. 116 คน ในการลงคะแนนครั้งที่ 1 มี ส.ส. ร่วมลงคะแนนคิดเป็นร้อยละ 87.06 แต่หลังจากนั้นได้มีจำนวน ส.ส. ลงคะแนนเพิ่มขึ้นเป็นร้อยละ 91.37 และสูงสุดอยู่ที่ 93.10 
3. พรรคภูมิใจไทย มีจำนวน ส.ส. 59 คน ในการลงคะแนนครั้งที่ 1 มี ส.ส. ร่วมลงคะแนนคิดเป็นร้อยละ 91.52 และหลังจากนั้นได้มีการลงคะแนนเพิ่มขึ้นสูงสุดอยู่ที่ร้อยละ 94.91 ซึ่งถือว่าเป็นพรรครัฐบาลที่ ส.ส. ร่วมลงคะแนนมากที่สุด 
4. พรรคก้าวไกล มีจำนวน ส.ส. 52 คน ในการลงคะแนนครั้งที่ 1 มี ส.ส. ร่วมลงคะแนนคิดเป็นร้อยละ 84.61 ครั้งที่ 2 ร้อยละ 90.38 และครั้งที่ 3 ร้อยละ 94.23 จึงถือว่าพรรคก้าวไกลเป็นพรรคฝ่ายค้านที่ได้ให้ความสำคัญกับการลงคะแนนมาก
5. พรรคประชาธิปัตย์ มีจำนวน ส.ส. 48 คน ในการลงคะแนนครั้งที่ 1 มี ส.ส. ร่วมลงคะแนนคิดเป็นร้อยละ 77 แต่ในการลงคะแนนครั้งที่ 3 ได้มี ส.ส. ร่วมลงคะแนนเสียงมากที่สุดถึงร้อยละ 87.50

สำหรับในภาพรวมแล้ว พรรคฝ่ายรัฐบาล มีจำนวน ส.ส. 266 คน ในการลงคะแนนครั้งที่ 1 มี ส.ส. ร่วมลงคะแนนคิดเป็นร้อยละ 81.95 และลงคะแนนสูงสุดในครั้งที่ 17 ถึงร้อยละ 90.97 ส่วนพรรคฝ่ายค้าน มีจำนวน ส.ส. 209 คน ในการลงคะแนนครั้งที่ 1 มี ส.ส. ร่วมลงคะแนนคิดเป็นร้อยละ 23.92 แต่ในการลงคะแนนครั้งที่ 21 มี ส.ส. ร่วมลงคะแนนคิดเป็นร้อยละ 65.07 ซึ่งถือว่าเพิ่มมากขึ้น และเมื่อรวมจำนวน ส.ส. ฝ่ายรัฐบาลและฝ่ายค้าน 475 คน ในการลงคะแนนครั้งที่ 1 มี ส.ส. ร่วมลงคะแนนน้อยที่สุดคิดเป็นร้อยละ 56.42 และมากที่สุดในการลงคะแนนครั้งที่ 21 คือร้อยละ 72.63 โดยที่ผ่านมานั้น การมีส่วนร่วมของ ส.ส. พรรคฝ่ายรัฐบาลถือว่าอยู่ในเกณฑ์ที่ใช้ได้ ส่วนพรรคฝ่ายค้านนั้น ขอชื่นชมพรรคก้าวไกลที่ปฏิบัติหน้าที่ได้เป็นอย่างดี อย่างไรก็ตาม ในการจัดทำรายงานผลดังกล่าวเป็นการจัดทำผลจำนวน ส.ส. ที่ออกเสียงเป็นรายพรรค ส่วนในโอกาสต่อไปจะได้จัดทำเป็นรายบุคคล โดยจะติดตามผลการออกเสียงอย่างต่อเนื่อง ซึ่งเริ่มนับการออกเสียงตั้งแต่วันที่ 1 ธ.ค. 64 โดยขณะนี้เป็นการออกเสียงครั้งที่ 23 แล้ว ทั้งนี้ จะนำผลการตรวจสอบการออกเสียงลงคะแนนมารายงานให้สื่อมวลชนทราบเป็นระยะ ๆ และอาจจัดทำเป็นเว็บไซต์เพื่อจัดเก็บข้อมูลดังกล่าวอย่างเป็นระบบต่อไป 

download download Download all images download


  • การรับรายงานตัวสมาชิกสภาผู้แทนราษฎร    download_icon

 แสดงทั้งหมด...
Untitled Document

สำนักงานเลขาธิการสภาผู้แทนราษฎร
ถนนประดิพัทธ์ แขวงพญาไท
เขตพญาไท กรุงเทพฯ 10400
โทร : 0 2244 2500
e-Mail : webmaster@parliament.go.th
จำนวนผู้เยี่ยมชมเว็บไซต์ในหน้า
ตั้งแต่วันที่ 24 มีนาคม 2562